Lompat ke konten Lompat ke sidebar Lompat ke footer

Seberkas Cahaya Monokromatik Dengan Panjang Gelombang 5000 A : Soal Cahaya Docx / Seberkas sinar monokromatik dengan panjang gelombang 5.

Seberkas Cahaya Monokromatik Dengan Panjang Gelombang 5000 A : Soal Cahaya Docx / Seberkas sinar monokromatik dengan panjang gelombang 5.. 3 seberkas cahaya monokromatik dengan panjang gelombang 5 times 105 cm diarahkan tegak lurus pada kisi difraksi. Tentukan panjang gelombang cahaya yang digunakan! Sebuah cahaya monokromatis dengan panjang gelombang 5000 a o mengenai kisi yang terdiri dari 10.000 celah/cm. Berarti, panjang gelombang cahaya yang digunakan adalah… a. Seberkas sinar monokhromatik dengan panjang gelombang 5000ao, datang tegak lurus pada kisi yang terdiri dari 5000 garis tiap cm, mka sudut belok pada orde terang ke 2 adalah….

Seberkas sinar monokromatik dengan panjang gelombang 5. Jika difrkasi orde kedua terjadi dengan 300 banyak nya garis setiap cm pada kisi tersebut adalah. Seberkas sinar monokhromatik dengan panjang gelombang 5000ao, datang tegak lurus pada kisi yang terdiri dari 5000 garis tiap cm, mka sudut belok pada orde terang ke 2 adalah…. 0,0008 mm 46.sebuah celah ganda disinari cahaya dengan panjang gelombang 600 nm. Garis terang orde pertama diamati terjadi pada sudut 30 0.apabila kedua ujung kisi ditutup sedemikian rupa hingga cacah celah yang dilewati cahaya tinggal 5.000, pada sudut 30 0 tersebut akan diamati ….

Cahaya Monokromatik Dg Panjang Gelombang 600 Nm Melewati Celah Ganda Yang Berjarak 0 2 Mm Satu Brainly Co Id
Cahaya Monokromatik Dg Panjang Gelombang 600 Nm Melewati Celah Ganda Yang Berjarak 0 2 Mm Satu Brainly Co Id from id-static.z-dn.net
Seberkas cahaya monokromatis dijatuhkan pada dua celah sempit vertikal berdekatan dengan jarak d = 0,01 mm. Seberkas cahaya monokromatik dengan panjang gelombang 500 nm tegak lurus pada kisi difraksi. Jika jarak layar ke celah 60 cm, maka cahaya tersebut memiliki panjang gelombang. Sudut deviasi orde kedua a. Seberkas cahaya monokromatik dengan panjang gelombang 600 nm menyinari tegak lurus suatu kisi yang terdiri dari 200 garis per mm.tentukan sudut deviasi orde. Bila seberkas cahaya dilewatkan pada kisi difraksi dengan 5000 celah/cm akan dihasilkan garis terang kedua dengan sudut deviasi 30 o terhadap garis normal. Jika spektrum orde kedua membentuk sudut deviasi 30°, jumlah garis per cm kisi adalah …. Orde maksimum yang harus diamati … a.

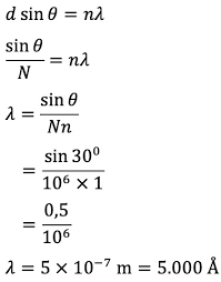
Seberkas sinar monokhromatik dengan panjang gelombang 5000ao, datang tegak lurus pada kisi yang terdiri dari 5000 garis tiap cm, mka sudut belok pada orde terang ke 2 adalah….

Pembahasan diketahui n = 5000 garis/cm m θ = 37o n=2 ditanya λ =? Jika kisi memiliki 400 garis tiap cm dan sudut deviasi sinar 30o maka banyaknya garis terang yang terjadi p. 45.seberkas sinar monokromatit dengan panjang gelombang 5.000 a melewati celah tunggal menghasilkan pola difraksi orde terang pertama seperti pada gambar berikut. Tentukan panjang gelombang cahaya yang digunakan! Jika spektrum orde kedua membuat sudut 300 dengan garis normal pada kisi, maka jumlah garis per cm kisi adalah … a. Seberkas cahaya monokromatik dengan panjang gelombang 500 nm tegak lurus pada kisi difraksi. Jika kisi memiliki 400 garis tiap cm dan sudut deviasi sinar 30 o maka banyaknya garis terang yang terjadi pada layar adalah. Seberkas cahaya monokromatik dengan panjang gelombang 500 nm jatuh tegak lurus pada kisi difraksi. Sebuah cahaya monokromatis dengan panjang gelombang 5.000 å mengenai kisi yang terdiri dari 10.000 celah/cm. Cahaya monokromatik dari sumber jauh datang pada sebuah celah tunggal yang lebarnya 3,00 nm. Apabila spektrum orde pertama membentuk sudut 30° terhadap garis normal, maka banyaknya kisi adal. Seberkas sinar monokromatis dengan panjang gelombang 5.000 å melewati celah tunggal menghasilkan pola difraksi orde terang pertama seperti gambar berikut. A) $\right)$ sudut deviasi orde kedua, b) $\right)$ orde maksimum yang mungkin terlihat pada layar.

Berarti, panjang gelombang cahaya yang digunakan adalah… a. Jika kisi memiliki 400 garis tiap cm dan sudut deviasi sinar 30 °, maka banyaknya garis terang yang terjadi pada layar adalah. Pembahasan diketahui n = 5000 garis/cm m θ = 37o n=2 ditanya λ =? Garis terang order pertama diamati terjadi pada sudut 30 derajat. Seberkas sinar monokromatis dengan panjang gelombang 5.000 å datang tegak lurus pada kisi.

Seberkas Sinar Monokromatis Dengan Panjang Gelombang 5 000 A Melewati Celah Tunggal Mas Dayat
Seberkas Sinar Monokromatis Dengan Panjang Gelombang 5 000 A Melewati Celah Tunggal Mas Dayat from 1.bp.blogspot.com
Pola interferensi yang terjadi ditangkap layar pada jarak 20 cm dari celah. Jika kisi memiliki 400 garis tiap cm dan sudut deviasi sinar 30 o maka banyaknya garis terang yang terjadi pada layar adalah. Jika jarak layar ke celah 60 cm, maka cahaya tersebut memiliki panjang gelombang. Jika kisi memiliki 400 garis tiap cm dan sudut deviasi 30 o, maka banyaknya garis terang yang terjadi pada layar. Garis terang orde pertama diamati terjadi pada sudut 30 o. Garis terang orde pertama diamati terjadi pada sudut 30 0.apabila kedua ujung kisi ditutup sedemikian rupa hingga cacah celah yang dilewati cahaya tinggal 5.000, pada sudut 30 0 tersebut akan diamati …. Sudut deviasi orde kedua a. Garis terang order pertama diamati terjadi pada sudut 30 derajat.

Garis terang orde pertama diamati terjadi pada sudut 30 o.

Jika layar berada pada jarak 100 cm dibelakang kisi, berapakah panjang gelombang cahaya tersebut? Jika jarak layar ke celah 60 cm, maka cahaya tersebut memiliki panjang gelombang. Apabila kedua ujung kisi ditutup sedemikian hingga cacah celah yang dilewati cahaya tinggal 5000, maka pada sudut 30 o tersebut akan diamati… a. Seberkas cahaya monokromatis dijatuhkan pada dua celah sempit vertikal berdekatan dengan jarak d = 0,01 mm. Seberkas cahaya monokromatik dengan panjang gelombang 500 nm jatuh tegak lurus pada kisi difraksi. Seberkas sinar monokromatis dengan panjang 5000 a datang tegak lurus pada kisi. Seberkas cahaya monokromatis dengan panjang gelombang 5000 å mengenai kisi yang terdiri dari 10000 celah/cm. Diketahui bahwa jarak antara garis gelap pertama sebelah kiri ke garis gelap sebelah kanan adalah 7,2 mm. Berarti, panjang gelombang cahaya yang digunakan adalah… a. Orde maksimum yang harus diamati … a. Jika kisi memiliki 400 garis tiap cm dan sudut deviasi sinar 30 o maka banyaknya garis terang yang terjadi pada layar adalah. Gelombang cahaya (contoh soal+pembahasan) 1. Bila seberkas cahaya dilewatkan pada kisi difraksi dengan 5000 celah/cm akan dihasilkan garis terang kedua dengan sudut deviasi 30 o terhadap garis normal.

Panjang gelombang cahaya tersebut adalah …. Berarti, panjang gelombang cahaya yang digunakan adalah… a. D jarak antar celah atau tetapan kisi n jumlah garis per satuan panjang λ panjang gelombang m orde dari difraksi 1 2 3. Garis terang orde pertama diamati terjadi pada sudut 30 0.apabila kedua ujung kisi ditutup sedemikian rupa hingga cacah celah yang dilewati cahaya tinggal 5.000, pada sudut 30 0 tersebut akan diamati …. Pembahasan diketahui n = 5000 garis/cm m θ = 37o n=2 ditanya λ =?

Materi Dan Contoh Soal Gelombang Cahaya Pdf Jawabanku Id
Materi Dan Contoh Soal Gelombang Cahaya Pdf Jawabanku Id from 0.academia-photos.com
Apabila kedua ujung kisi ditutup sedemikian hingga cacah celah yang dilewati cahaya tinggal 5000, maka pada sudut 30 o tersebut akan diamati… a. Jika kisi memiliki 400 garis tiap cm dan sudut deviasi 30 o, maka banyaknya garis terang yang terjadi pada layar. Seberkas sinar monokromatis dengan panjang gelombang 5.000 å melewati celah tunggal menghasilkan pola difraksi orde terang pertama seperti gambar berikut. Jika kisi memiliki 400 garis tiap cm dan sudut deviasi sinar 30 °, maka banyaknya garis terang yang terjadi pada layar adalah. Apabila spektrum orde pertama membentuk sudut 30° terhadap garis normal, maka banyaknya kisi adal. Seberkas cahaya monokromatis dijatuhkan pada dua celah sempit vertikal berdekatan dengan jarak d = 0,01 mm. Seberkas cahaya monokromatik dengan panjang gelombang 500 nm jatuh tegak lurus pada kisi difraksi. Diketahui bahwa jarak antara garis gelap pertama sebelah kiri ke garis gelap sebelah kanan adalah 7,2 mm.

Jika jarak layar ke celah 60 cm, maka cahaya tersebut memiliki panjang gelombang.

Sebuah kisi difraksi dengan konstanta kisi 500 gariscm digunakan untuk mendifraksikan cahaya pada layar yang berjarak 1 m dari kisi. Panjang gelombang cahaya tersebut adalah …. Seberkas cahaya monokromatik dengan panjang gelombang 500 nm tegak lurus pada kisi difraksi. Seberkas cahaya monokromatik dengan panjang gelombang 500 nm tegak lurus pada kisi difraksi. Garis terang orde pertama diamati terjadi pada sudut 30 0.apabila kedua ujung kisi ditutup sedemikian rupa hingga cacah celah yang dilewati cahaya tinggal 5.000, pada sudut 30 0 tersebut akan diamati …. Seberkas sinar monokromatik dengan panjang gelombang 5. Seberkas sinar monokromatis dengan panjang gelombang 5.000 å datang tegak lurus pada kisi. Seberkas sinar monokhromatik dengan panjang gelombang 5000ao, datang tegak lurus pada kisi yang terdiri dari 5000 garis tiap cm, mka sudut belok pada orde terang ke 2 adalah…. Garis terang order pertama diamati terjadi pada sudut 30 derajat. Seberkas cahaya monokromatis dengan panjang gelombang 5000 å mengenai kisi yang terdiri dari 10000 celah/cm. Seberkas sinar monokhromatik dengan panjang gelombang 5000ao datang tegak lurus pada kisi yang terdiri dari 5000 garis tiap cm mka sudut belok pada orde terang ke 2 adalah. Jika layar berada pada jarak 100 cm dibelakang kisi, berapakah panjang gelombang cahaya tersebut? Jika spektrum orde kedua membentuk sudut deviasi 30°, jumlah garis per cm kisi adalah ….

Posting Komentar untuk "Seberkas Cahaya Monokromatik Dengan Panjang Gelombang 5000 A : Soal Cahaya Docx / Seberkas sinar monokromatik dengan panjang gelombang 5."